Номер 980 - ГДЗ Математика 6 класс. Мерзляк, Полонский. Учебник. Страница 210

Вернуться к содержанию учебника

Страница 210

977 978 979 980 981 982 983

Вопрос

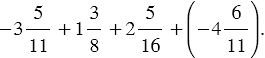
Найдите значение выражения:

1) 43 + (60) + 12 + 39 + (21);

2) 1,23 + 2,14 + 7,38 + (5,77) + 1,62;

3)

4)

5)

Подсказка

Ответ


Вернуться к содержанию учебника