Номер 1015 - ГДЗ Математика 6 класс. Мерзляк, Полонский. Учебник. Страница 215

Вернуться к содержанию учебника

Страница 215

1012 1013 1014 1015 1016 1017 1018

Вопрос

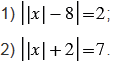
Решите уравнение:

Подсказка

Вспомните:

  1. Как решают уравнения.
  2. Что называют модулем числа.
  3. Противоположные числа.
  4. Правила вычитания рациональных чисел.
  5. Правила сложения рациональных чисел.

Ответ


Вернуться к содержанию учебника