Номер 1082 - ГДЗ Математика 6 класс. Мерзляк, Полонский. Учебник. Страница 230

Вернуться к содержанию учебника

Страница 230

1079 1080 1081 1082 1083 1084 1085

Вопрос

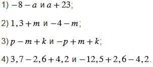
Запишите сумму двух выражений и упростите ее:

Подсказка

Вспомните:

  1. Правила раскрытия скобок.
  2. Свойства действий с рациональными числами.
  3. Правила сложения рациональных чисел.
  4. Правила вычитания рациональных чисел.
  5. Противоположные числа.
  6. Модуль числа.
  7. Сложение и вычитание десятичных дробей.
  8. Сравнение десятичных дробей.

Ответ


Вернуться к содержанию учебника