Номер 1116 - ГДЗ Математика 6 класс. Мерзляк, Полонский. Учебник. Страница 236

Вернуться к содержанию учебника

Страница 236

1113 1114 1115 1116 1117 1118 1119

Вопрос

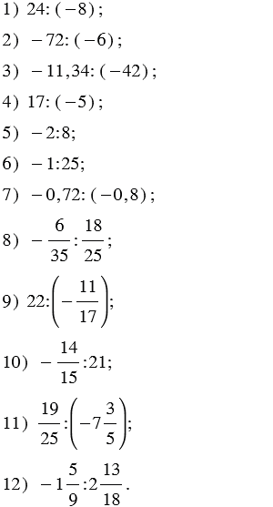
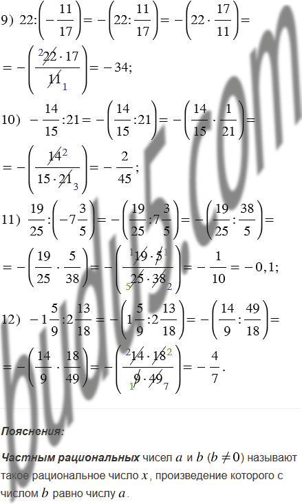
Выполните деление:

Подсказка

Ответ


Вернуться к содержанию учебника