Номер 1. Рациональные числа и действия над ними. Решаем устно § 41 - ГДЗ Математика 6 класс. Мерзляк, Полонский. Учебник. Страница 241

Вернуться к содержанию учебника

Рациональные числа и действия над ними. Решаем устно § 41. Страница 241

1 2 3 1 2 3 4

Вопрос

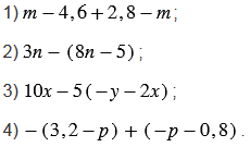
Упростите выражение:

Подсказка

Вспомните:

  1. Распределительное свойство умножения, коэффициент.
  2. Раскрытие скобок, подобные слагаемые.
  3. Противоположные числа.
  4. Сложение и вычитание десятичных дробей.
  5. Сравнение десятичных дробей.

Ответ

1 2 3 1 2 3 4


Вернуться к содержанию учебника