Номер 138 - ГДЗ Алгебра 7 класс. Мерзляк, Полонский. Учебник. Страница 34

Вернуться к содержанию учебника

Страница 34

135 136 137 138 139 140 141

Вопрос

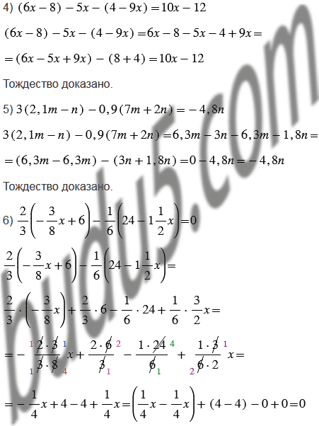
Докажите тождество:

Подсказка

Вспомните:

  1. Что называют тождеством.
  2. Свойства действий с рациональными числами.
  3. Подобные слагаемые, раскрытие скобок.
  4. Правила сложения рациональных чисел.
  5. Правила вычитания рациональных чисел.
  6. Правила умножения рациональных чисел.
  7. Сложение и вычитание десятичных дробей.
  8. Умножение десятичных дробей.
  9. Десятичная запись дробных чисел.
  10. Умножение обыкновенных дробей и смешанных чисел.
  11. Сокращение дробей.
  12. Смешанные числа.
  13. Неправильные дроби.
  14. Деление и дроби.

Ответ


Вернуться к содержанию учебника