Номер 156 - ГДЗ Алгебра 7 класс. Мерзляк, Полонский. Учебник. Страница 38

Вернуться к содержанию учебника

Страница 38

153 154 155 156 157 158 159

Вопрос

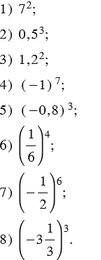
Выполните возведение в степень:

Подсказка

Ответ


Вернуться к содержанию учебника