Номер 9. Задание "Проверь себя" №2 - ГДЗ Алгебра 7 класс. Мерзляк, Полонский. Учебник. Страница 68

Вернуться к содержанию учебника

Задание "Проверь себя" №2. Страница 68

6 7 8 9 10 11 12

Вопрос

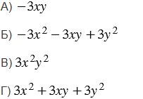
Приведите подобные члены многочлена .

Подсказка

Вспомните:

  1. Что называют многочленом, его стандартный вид и степень.
  2. Что называют одночленом, его стандартный вид и степень.
  3. Подобные слагаемые.
  4. Правила сложения рациональных чисел.
  5. Модуль числа.

Ответ

6 7 8 9 10 11 12


Вернуться к содержанию учебника