Номер 565 - ГДЗ Алгебра 7 класс. Мерзляк, Полонский. Учебник. Страница 101

Вернуться к содержанию учебника

Страница 101

562 563 564 565 566 567 568

Вопрос

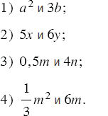
Найдите удвоенное произведение одночленов:

Подсказка

Ответ


Вернуться к содержанию учебника