Номер 622 - ГДЗ Алгебра 7 класс. Мерзляк, Полонский. Учебник. Страница 109

Вернуться к содержанию учебника

Страница 109

619 620 621 622 623 624 625

Вопрос

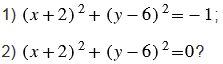
При каких значениях переменных выполняется равенство:

Подсказка

Ответ


Вернуться к содержанию учебника