Номер 792 - ГДЗ Алгебра 7 класс. Мерзляк, Полонский. Учебник. Страница 149

Вернуться к содержанию учебника

Страница 149

789 790 791 792 793 794 795

Вопрос

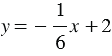
Функция задана формулой . Найдите:

1) значение функции для значений аргумента, равных 12; 6; 6; 0; 1; 2; 4; 3;

2) значение аргумента, при котором значение функции равно 4; 3; 0; 1.

Подсказка

Ответ


Вернуться к содержанию учебника