Номер 850 - ГДЗ Алгебра 7 класс. Мерзляк, Полонский. Учебник. Страница 167

Вернуться к содержанию учебника

Страница 167

847 848 849 850 851 852 853

Вопрос

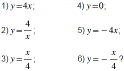
Является ли прямой пропорциональностью функция, заданная формулой:

В случае утвердительного ответа укажите значение коэффициента .

Подсказка

Ответ


Вернуться к содержанию учебника