Номер 11. Задание "Проверь себя" №6 - ГДЗ Алгебра 7 класс. Мерзляк, Полонский. Учебник. Страница 176

Вернуться к содержанию учебника

Задание "Проверь себя" №6. Страница 176

8 9 10 11 12 1 2

Вопрос

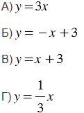
График какой функции изображен на рисунке 42?

Подсказка

Ответ

8 9 10 11 12 1 2


Вернуться к содержанию учебника