Задание 406 - ГДЗ Математика 5 класс. Виленкин, Жохов. Учебник часть 1

Старая и новая редакции

Вернуться к содержанию учебника

403 404 405 406 407 408 409

Вопрос

№406 учебника 2017-2020 (стр. 84):

№406 учебника 2011-2016 (стр. 68):

Вместо слов "представьте в виде произведения"  говорят "разложите на множители".

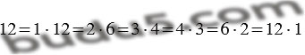
Разложите всеми способами на два множителя число 12.

Подсказка

№406 учебника 2017-2020 (стр. 84):

№406 учебника 2011-2016 (стр. 68):

Повторите умножение натуральных чисел.

Ответ

№406 учебника 2017-2020 (стр. 84):

№406 учебника 2011-2016 (стр. 68):


Вернуться к содержанию учебника