Номер 963 - ГДЗ Алгебра 7 класс. Мерзляк, Полонский. Учебник. Страница 190

Вернуться к содержанию учебника

Страница 190

960 961 962 963 964 965 966

Вопрос

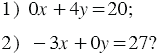
Какие пары чисел являются решениями уравнения:

Подсказка

Вспомните:

  1. Какое равенство называется уравнением с двумя переменными.
  2. Какое уравнение с двумя переменными называют линейным.
  3. Что является решением уравнения с двумя переменными.

Ответ


Вернуться к содержанию учебника