Номер 973 - ГДЗ Алгебра 7 класс. Мерзляк, Полонский. Учебник. Страница 191

Вернуться к содержанию учебника

Страница 191

970 971 972 973 974 975 976

Вопрос

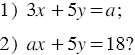
При каком значении пара чисел (4; 2) является решением уравнения:

Подсказка

Вспомните:

  1. Какое равенство называется уравнением с двумя переменными.
  2. Какое уравнение с двумя переменными называют линейным.
  3. Что является решением уравнения с двумя переменными.
  4. Свойства уравнений с двумя переменными.
  5. Сложение, вычитание, умножение и деление рациональных чисел.

Ответ


Вернуться к содержанию учебника