Номер 1002 - ГДЗ Алгебра 7 класс. Мерзляк, Полонский. Учебник. Страница 194

Вернуться к содержанию учебника

Страница 194

999 1000 1001 1002 1003 1004 1005

Вопрос

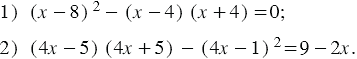
Решите уравнение:

Подсказка

Ответ


Вернуться к содержанию учебника