Задание 403 - ГДЗ Математика 6 класс. Виленкин, Жохов. Учебник часть 1

Старая и новая редакции

Вернуться к содержанию учебника

400 401 402 403 404 405 406

Вопрос

Выберите год учебника

№403 учебника 2018-2020 (стр. 73):

Федя и Вася шли на встречу друг другу. Каждый час расстояние между ними уменьшалось на  км. Найдите скорость Феди, если скорость Васи  км/ч.


№403 учебника 2011-2017 (стр. 65):

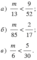
Найдите натуральные значения m, при которых верно неравенство:

Подсказка

№403 учебника 2018-2020 (стр. 73):

Вспомните:

  1. Краткую запись задач на движение.
  2. Вычитание смешанных чисел.

№403 учебника 2011-2017 (стр. 65):

Вспомните:

  1. Сравнение дробей.
  2. Приведение дробей к общему знаменателю.
  3. Какие числа являются натуральными.

Ответ

№403 учебника 2018-2020 (стр. 73):


№403 учебника 2011-2017 (стр. 65):


Вернуться к содержанию учебника