Задание 2. Задания для самопроверки § 2 - ГДЗ Математика 6 класс. Виленкин, Жохов. Учебник часть 1. Страница 77

Старая и новая редакции

Вернуться к содержанию учебника

Задания для самопроверки § 2. Страница 77

9 10 1 2 3 4 5

Вопрос

№2 учебника 2018-2020 (стр. 77):

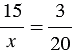
Укажите, при каком значении верно равенство .

Подсказка

№2 учебника 2018-2020 (стр. 77):

Ответ

№2 учебника 2018-2020 (стр. 77):

9 10 1 2 3 4 5


Вернуться к содержанию учебника