Вернуться к содержанию учебника
Выберите год учебника
№549 учебника 2018-2020 (стр. 100):
Площадь поля
га. В первый день вспахали
поля. Какая площадь осталась невспаханной? Найдите значение получившегося выражения при
= 57; 234;
.
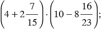
№549 учебника 2011-2017 (стр. 90):
Выполните действия:
а) 
б) 
в) 
г) 
№549 учебника 2018-2020 (стр. 100):
Вспомните:
№549 учебника 2011-2017 (стр. 90):
Вспомните:
Вернуться к содержанию учебника