Задание 31 - ГДЗ Математика 6 класс. Виленкин, Жохов. Учебник часть 2. Страница 14

Старая и новая редакции

Вернуться к содержанию учебника

28 29 30 31 32 33 34

Вопрос

№31 учебника 2018-2020 (стр. 14):

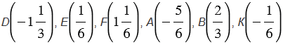
Приняв за единичный отрезок длину 6 клеток тетради, начертите координатную прямую и отметьте на ней точки

, С(-0,5), , М(1,5).

Подсказка

№31 учебника 2018-2020 (стр. 14):

Вспомните:

  1. Что такое координата точки.
  2. Как определить положение точки на координатной прямой.
  3. Обыкновенные дроби.
  4. Смешанные числа.
  5. Десятичные дроби.

Ответ

№31 учебника 2018-2020 (стр. 14):


Вернуться к содержанию учебника