Задание 37 - ГДЗ Математика 6 класс. Виленкин, Жохов. Учебник часть 2. Страница 17

Старая и новая редакции

Вернуться к содержанию учебника

34 35 36 37 38 39 40

Вопрос

№37 учебника 2018-2020 (стр. 17):

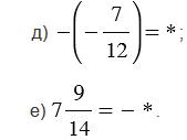
Поставьте вместо такое число, чтобы получилось верное равенство:

Подсказка

№37 учебника 2018-2020 (стр. 17):

Ответ

№37 учебника 2018-2020 (стр. 17):


Вернуться к содержанию учебника