Задание 267 - ГДЗ Математика 6 класс. Виленкин, Жохов. Учебник часть 2. Страница 64

Старая и новая редакции

Вернуться к содержанию учебника

264 265 266 267 268 269 270

Вопрос

№267 учебника 2018-2020 (стр. 64):

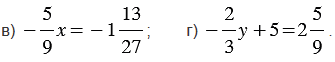
Решите уравнение:

Подсказка

Ответ

№267 учебника 2018-2020 (стр. 64):


Вернуться к содержанию учебника