Вернуться к содержанию учебника
№290 учебника 2018-2020 (стр. 70):
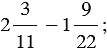
Представьте в виде
(где
- целое число, а
- натуральное число):
а) суммы

б) произведения

в) частные

№290 учебника 2018-2020 (стр. 70):
Вспомните:
Вернуться к содержанию учебника