Задание 3. Задания для самопроверки § 7 - ГДЗ Математика 6 класс. Виленкин, Жохов. Учебник часть 2. Страница 80

Старая и новая редакции

Вернуться к содержанию учебника

Задания для самопроверки § 7. Страница 80

10 1 2 3 4 5 6

Вопрос

№3 учебника 2018-2020 (стр. 80):

Укажите верные неравенства:

а) 395,5 < 0;

б) 4,8(5) < 0;

в) 3,5(4,5) > 4,5;

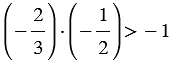
г) .

Подсказка

Ответ

№3 учебника 2018-2020 (стр. 80):

10 1 2 3 4 5 6


Вернуться к содержанию учебника