Задание 401 - ГДЗ Математика 6 класс. Виленкин, Жохов. Учебник часть 2. Страница 95

Старая и новая редакции

Вернуться к содержанию учебника

398 399 400 401 402 403 404

Вопрос

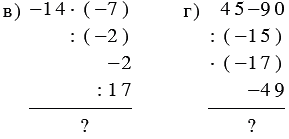
№401 учебника 2018-2020 (стр. 95):

Вычислите устно:

Подсказка

№401 учебника 2018-2020 (стр. 95):

Вспомните:

  1. Сложение рациональных чисел.
  2. Вычитание рациональных чисел.
  3. Умножение рациональных чисел.
  4. Деление рациональных чисел.
  5. Модуль числа.

Ответ

№401 учебника 2018-2020 (стр. 95):


Вернуться к содержанию учебника