Задание 469 - ГДЗ Математика 6 класс. Виленкин, Жохов. Учебник часть 2. Страница 110

Старая и новая редакции

Вернуться к содержанию учебника

466 467 468 469 470 471 472

Вопрос

№469 учебника 2018-2020 (стр. 110):

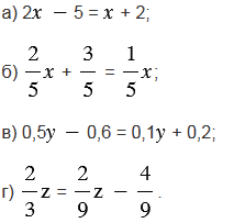
Найдите корень уравнения:

Подсказка

№469 учебника 2018-2020 (стр. 110):

Вспомните:

  1. Деление рациональных чисел.
  2. Модуль числа.
  3. Как привести подобные слагаемые.
  4. Решение уравнений.
  5. Умножение обыкновенных дробей.
  6. Сокращение дробей.
  7. Умножение десятичных дробей.

Ответ

№469 учебника 2018-2020 (стр. 110):


Вернуться к содержанию учебника