Задание 599 - ГДЗ Математика 6 класс. Виленкин, Жохов. Учебник часть 2. Страница 144

Старая и новая редакции

Вернуться к содержанию учебника

596 597 598 599 600 601 602

Вопрос

№599 учебника 2018-2020 (стр. 144):

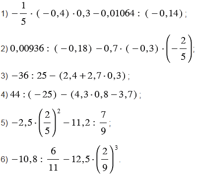
Выполните действия:

Подсказка

№599 учебника 2018-2020 (стр. 144):

Ответ

№599 учебника 2018-2020 (стр. 144):


Вернуться к содержанию учебника