Задание 693 - ГДЗ Математика 6 класс. Виленкин, Жохов. Учебник часть 2. Страница 154

Старая и новая редакции

Вернуться к содержанию учебника

690 691 692 693 694 695 696

Вопрос

№693 учебника 2018-2020 (стр. 154):

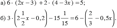
Решите уравнение:

Подсказка

№693 учебника 2018-2020 (стр. 154):

Ответ

№693 учебника 2018-2020 (стр. 154):


Вернуться к содержанию учебника