Номер 1213 - ГДЗ Алгебра 7 класс. Мерзляк, Полонский. Учебник. Страница 232

Вернуться к содержанию учебника

Страница 232

1210 1211 1212 1213 1214 1215 1216

Вопрос

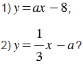
При каком значении через точку М(3; 2) проходит график функции:

Подсказка

Вспомните:

  1. Какое равенство называют уравнением с двумя переменными, его свойства, решение и график.
  2. Какое уравнение с двумя переменными называют линейным.
  3. Сложение, вычитание и деление рациональных чисел.
  4. Умножение обыкновенных дробей.
  5. Деление и дроби.
  6. Координаты точки.
  7. Сокращение дробей.

Ответ


Вернуться к содержанию учебника