Номер 380 - ГДЗ Алгебра 8 класс. Мерзляк, Полонский. Учебник. Страница 100

Вернуться к содержанию учебника

Упражнения § 12. Страница 100

377 378 379 380 381 382 383

Вопрос

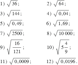
Найдите значение арифметического квадратного корня:

Подсказка

Вспомните:

  1. Что называют арифметическим квадратным корнем числа.
  2. Как обозначают арифметический квадратный корень из числа.
  3. Что такое степень числа.
  4. Что такое квадрат числа.
  5. Какие числа называют неотрицательными.
  6. Как преобразовать смешанное число в неправильную дробь.
  7. Умножение десятичных дробей.
  8. Умножение обыкновенных дробей.

Ответ


Вернуться к содержанию учебника