Номер 397 - ГДЗ Алгебра 8 класс. Мерзляк, Полонский. Учебник. Страница 101

Вернуться к содержанию учебника

Упражнения § 12. Страница 101

394 395 396 397 398 399 400

Вопрос

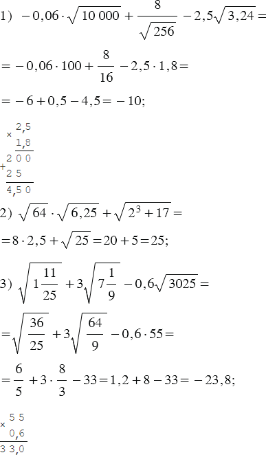
Найдите значение выражения:

Подсказка

Ответ


Вернуться к содержанию учебника