Номер 407 - ГДЗ Алгебра 8 класс. Мерзляк, Полонский. Учебник. Страница 103

Вернуться к содержанию учебника

Упражнения § 12. Страница 103

404 405 406 407 408 409 410

Вопрос

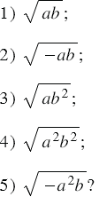
При каких значениях и имеет смысл выражение:

Подсказка

Вспомните:

  1. Что называют арифметическим квадратным корнем числа.
  2. Как обозначают арифметический квадратный корень из числа.
  3. Как называют выражение, стоящее под радикалом.
  4. Что такое степень числа.
  5. Что такое квадрат числа.
  6. Какие числа называют положительными, отрицательными, неотрицательными, неположительными.

Ответ


Вернуться к содержанию учебника