Вернуться к содержанию учебника
Выберите год учебника
№109 учебника 2013-2022 (стр. 37):
В равнобедренном треугольнике АВС с основанием ВС проведена медиана АМ. Найдите медиану АМ, если периметр треугольника АВС равен 32 см, А периметр треугольника АВМ равен 24 см.
№109 учебника 2023-2026 (стр. 37):
Начертите три равнобедренных треугольника так, чтобы угол, лежащий против основания, был: а) острым; б) прямым; в) тупым.
№109 учебника 2013-2022 (стр. 37):
Вспомните:
№109 учебника 2023-2026 (стр. 37):
Вспомните:
№109 учебника 2013-2022 (стр. 37):




№109 учебника 2023-2026 (стр. 37):
а) 
NМP - равнобедренный треугольник, МР - основание,
N - острый угол.
б) 
EFG - равнобедренный треугольник, FG - основание,
Е - прямой угол.

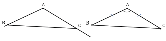
АВС - равнобедренный треугольник, ВС - основание,
А - тупой угол.
Пояснения:
а) Для того, чтобы построить равнобедренный треугольник, у которого против основания лежит острый угол, используем линейку. Строим произвольный острый угол.

Вершину угла обозначаем буквой N, на сторонах данного угла от вершины N откладываем равные отрезки с помощью линейки, отмечаем точками концы полученных отрезков и обозначаем их М и Р.

Соединяем точки М и Р с помощью линейки.

С помощью ластика убираем лишнее. Отмечаем то, что треугольник равнобедренный с помощью штрихов (смотри выделенное синим), получили
NMP - равнобедренный треугольник,
N - острый, МР - основание.

б) Для того, чтобы построить равнобедренный треугольник, у которого против основания лежит прямой угол, используем линейку и чертежный угольник. С помощью чертежного угольника строим прямой угол. Для этого проводим линии вдоль сторон чертежного угольника, образующих прямой угол.

Вершину угла обозначаем буквой Е, на сторонах данного угла от вершины Е откладываем равные отрезки с помощью линейки, отмечаем точками концы полученных отрезков и обозначаем их F и G.

Соединяем точки F и G с помощью линейки.

С помощью ластика убираем лишнее. Отмечаем то, что треугольник равнобедренный с помощью штрихов (смотри выделенное синим), получили
EFG - равнобедренный треугольник,
Е - прямой, FG - основание.

в) Для того, чтобы построить равнобедренный треугольник, у которого против основания лежит тупой угол, используем линейку. Строим произвольный тупой угол.

Вершину угла обозначаем буквой А, на сторонах данного угла от вершины А откладываем равные отрезки с помощью линейки, отмечаем точками концы полученных отрезков и обозначаем их В и С.

Соединяем точки В и С с помощью линейки.

С помощью ластика убираем лишнее. Отмечаем то, что треугольник равнобедренный с помощью штрихов (смотри выделенное синим), получили
АВС - равнобедренный треугольник,
А - тупой, ВС - основание.

Вернуться к содержанию учебника