Вернуться к содержанию учебника
Выберите год учебника
№324 учебника 2013-2022 (стр. 92):
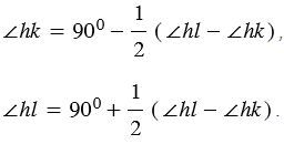
Пусть 
- меньший из двух смежных углов 
и 
. Докажите, что

№324 учебника 2023-2026 (стр. 90):
С помощью циркуля и линейки постройте угол, равный:
а) 300; б) 600; в) 150; г) 1200; д) 1500; е) 1350; ж) 1650; з) 750; и) 1050.
№324 учебника 2013-2022 (стр. 92):
№324 учебника 2023-2026 (стр. 90):
Вспомните:
Вернуться к содержанию учебника