Задание 617 - ГДЗ Геометрия 7-9 класс. Атанасян. Учебник. Страница 160

Старая и новая редакции

Вернуться к содержанию учебника

614 615 616 617 618 619 620

Вопрос

Выберите год учебника

№617 учебника 2013-2022 (стр. 160):

Докажите, что середины сторон ромба являются вершинами прямоугольника.


№617 учебника 2023-2026 (стр. 160):

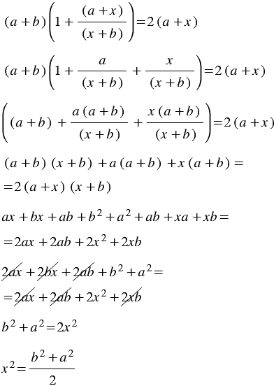
Основания трапеции равны и . Отрезок с концами на боковых сторонах трапеции, параллельный основаниям, разделяет трапецию на две равновеликие трапеции. Найдите длину этого отрезка.

Подсказка

№617 учебника 2013-2022 (стр. 160):

Вспомните:

  1. Что такое треугольник.
  2. Что такое средняя линия.
  3. Что такое параллелограмм.
  4. Что такое прямоугольник.
  5. Что такое ромб.

№617 учебника 2023-2026 (стр. 160):

Вспомните:

  1. Что такое трапеция.
  2. Что такое площадь.
  3. Какие фигуры называются равновеликими.
  4. Как вычислить площадь трапеции.

Ответ

№617 учебника 2013-2022 (стр. 160):


№617 учебника 2023-2026 (стр. 160):


Вернуться к содержанию учебника