Вернуться к содержанию учебника
Выберите год учебника
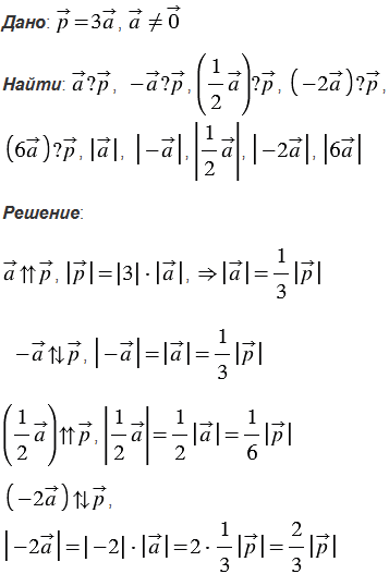
№779 учебника 2013-2022 (стр. 206):
Дан вектор
= 3
, где 

. Как направлен каждый из векторов
, -
, 
, -2
, 6
по отношению к вектору
? Выразите длины этих векторов через 

.
№779 учебника 2023-2026 (стр. 206):
Вершины треугольника АВС лежат на окружности. Докажите, что если АВ - диаметр окружности, то
С
А и
С
В.
№779 учебника 2013-2022 (стр. 206):
Вспомните:
№779 учебника 2023-2026 (стр. 206):
Вспомните:
Вернуться к содержанию учебника