Задание 960 - ГДЗ Геометрия 7-9 класс. Атанасян. Учебник

Старая и новая редакции

Вернуться к содержанию учебника

957 958 959 960 961 962 963

Вопрос

Выберите год учебника

№960 учебника 2013-2022 (стр. 240):

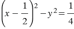
Какие из точек А(3; -4), В(1; 0), С(0; 5), D(0; 0) и Е(0; 1) лежат на окружности, заданной уравнением:

а) ;

б) ;

в) ?


№960 учебника 2023-2026 (стр. 236):

Дан параллелограмм АВСD. Докажите, что , где Х - произвольная точка плоскости.

Подсказка

№960 учебника 2013-2022 (стр. 240):

Вспомните:

  1. Что такое окружность и какие она имеет элементы.
  2. Что такое система координат.
  3. Как определить координаты точки.
  4. Что называется уравнением линии.
  5. Какой вид имеет уравнение окружности.

№960 учебника 2023-2026 (стр. 236):

Вспомните:

  1. Какой четырехугольник называется параллелограммом, его свойства.
  2. Что такое вектор.
  3. Какие векторы называются равными.
  4. Правило треугольника.

Ответ

№960 учебника 2013-2022 (стр. 240):


№960 учебника 2023-2026 (стр. 236):


Вернуться к содержанию учебника