Задание 1106 - ГДЗ Геометрия 7-9 класс. Атанасян. Учебник

Старая и новая редакции

Вернуться к содержанию учебника

1103 1104 1105 1106 1107 1108 1109

Вопрос

Выберите год учебника

№1106 учебника 2013-2022 (стр. 282):

Автомобиль прошёл 989 м. Найдите диаметр колеса автомобиля, если известно, что оно сделало 500 оборотов.


№1106 учебника 2023-2026 (стр. 275):

Найдите угол между лучом ОА и положительной полуосью , если точка А имеет координаты:

а) ; б) ; в) ; г) .

Подсказка

№1106 учебника 2013-2022 (стр. 282):

Вспомните, что такое окружность и как найти ее длину.


№1106 учебника 2023-2026 (стр. 275):

Вспомните:

  1. Что такое система координат.
  2. Как определить координаты точки.
  3. Что такое единичная полуокружность.
  4. Что называется синусом и косинусом угла.
  5. Значение синуса и косинуса углов, равных 300, 450, 600.
  6. Формулы приведения.
  7. Как вычислить координаты точки.

Ответ

№1106 учебника 2013-2022 (стр. 282):


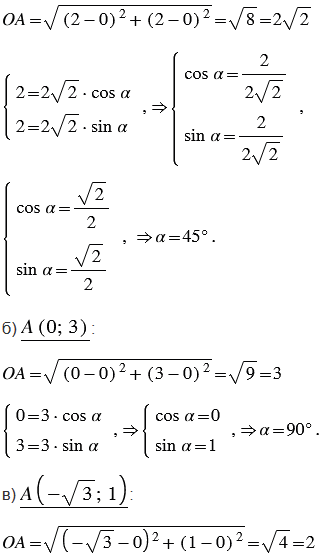
№1106 учебника 2023-2026 (стр. 275):


Вернуться к содержанию учебника