Номер 673 - ГДЗ Алгебра 8 класс. Мерзляк, Полонский. Учебник. Страница 170

Вернуться к содержанию учебника

Упражнения §20. Страница 170

670 671 672 673 674 675 676

Вопрос

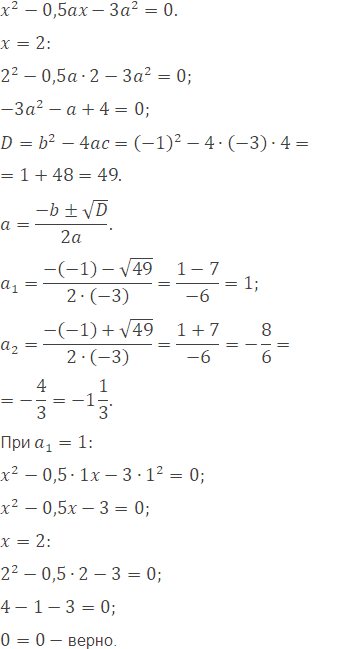
При каком значении число 2 является корнем уравнения ?

Подсказка

Вспомните:

  1. Что такое уравнение.
  2. Решение уравнений.
  3. Что такое корень уравнения.
  4. Какое уравнение называют квадратным.
  5. Какое выражение называют дискриминантом квадратного уравнения.
  6. Формулу корней квадратного уравнения.
  7. Сложение, вычитание, умножение и деление рациональных чисел.

Ответ


Вернуться к содержанию учебника