Номер 713 - ГДЗ Алгебра 8 класс. Мерзляк, Полонский. Учебник. Страница 177

Вернуться к содержанию учебника

Упражнения §21. Страница 177

710 711 712 713 714 715 716

Вопрос

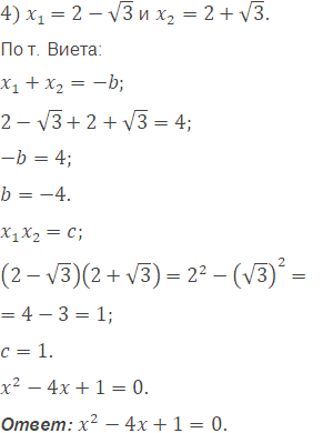
Составьте квадратное уравнение с целыми коэффициентами, корни которого равны:

Подсказка

Вспомните:

  1. Что такое уравнение.
  2. Что называют корнем уравнения.
  3. Какое уравнение называют квадратным.
  4. Теорему Виета.
  5. Сложение и умножение рациональных чисел.
  6. Разность квадратов двух выражений.
  7. Какие числа называют целыми.
  8. Что называют арифметическим квадратным корнем.

Ответ


Вернуться к содержанию учебника