Задание 2.143 - ГДЗ Математика 5 класс. Виленкин, Жохов. Учебник часть 1. Страница 63

Старая и новая редакции

Вернуться к содержанию учебника

2.140 2.141 2.142 2.143 2.144 2.145 2.146

Вопрос

№2.143 учебника 2023-2026 (стр. 63):

№2.143 учебника 2021-2022 (стр. 63):

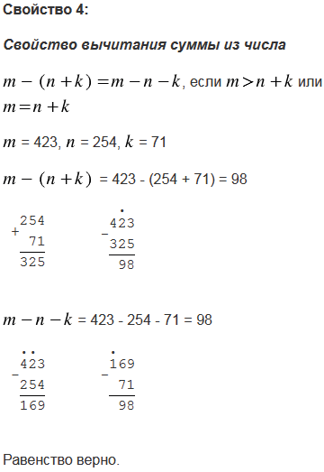
С помощью букв , и запишите свойство 4. Подставьте значения букв: = 423, = 254, = 71 - и проверьте получившееся числовое равенство. Как называется это свойство?

Подсказка

№2.143 учебника 2023-2026 (стр. 63):

№2.143 учебника 2021-2022 (стр. 63):

Вспомните:

  1. Вычитание чисел, его свойства.
  2. Сложение чисел.
  3. Числовые и буквенные выражения.

Ответ

№2.143 учебника 2023-2026 (стр. 63):

№2.143 учебника 2021-2022 (стр. 63):


Вернуться к содержанию учебника