Вернуться к содержанию учебника
Выберите год учебника
№2.266 учебника 2023-2026 (стр. 81):
Выполните действие:

№2.266 учебника 2021-2022 (стр. 76):
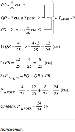
В треугольнике РQR сторона РQ равна
см, QR больше РQ в 3 раза, а РR меньше QR на
см. Найдите периметр треугольника?
№2.266 учебника 2023-2026 (стр. 81):
Вспомните:
№2.266 учебника 2021-2022 (стр. 76):
Вспомните:
Вернуться к содержанию учебника