Вернуться к содержанию учебника
Выберите год учебника
№2.454 учебника 2023-2026 (стр. 104):
Округлите числа:
а) 0,588; 2,062; 3,850; 9,3762 до сотых;
б) 0,0915; 0,7549; 2,4587; 6,59012 до тысячных.
№2.454 учебника 2021-2022 (стр. 100):
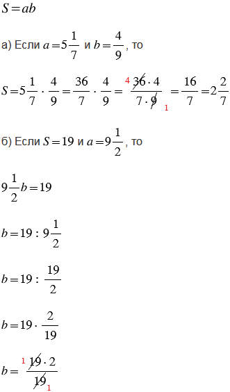
Вычислите по формуле площади прямоугольника
значение:

№2.454 учебника 2023-2026 (стр. 104):
Вспомните округление десятичных дробей.
№2.454 учебника 2021-2022 (стр. 100):
Вспомните:
№2.454 учебника 2023-2026 (стр. 104):
а) 0,588
0,59;
2,062
2,06;
3,850
3,85;
9,3762
9,38.
б) 0,0915
0,092;
0,7549
0,755;
2,4587
2,459;
6,59012
6,590.
Пояснения:
Правило округления десятичных дробей:
№2.454 учебника 2021-2022 (стр. 100):


Чтобы найти неизвестный множитель, нужно произведение разделить на известный множитель.
При выполнении вычислений учитываем правила, указанные ниже.
Чтобы найти частное двух дробей, надо делимое умножить на число, обратное делителю. При этом помним, обратным числу
является число
.
Произведением двух дробей является дробь, числитель которой равен произведению числителей, а знаменатель - произведению знаменателей.
Чтобы умножить обыкновенную дробь на натуральное число, нужно ее числитель умножить на это число, а знаменатель оставить без изменения.
Чтобы выполнить умножение смешанных чисел, нужно записать эти числа в виде неправильных дробей, а затем воспользоваться правилом умножения дробей. Чтобы преобразовать смешанное число в неправильную дробь, надо целую часть числа умножить на знаменатель дробной части и к полученному произведению прибавить числитель дробной части; эту сумму записать как числитель неправильной дроби, а в ее знаменатель записать знаменатель дробной части смешанного числа.
При выполнении умножения дробей, чтобы вычисления были проще, не надо перемножать сразу, лучше сделать это после сокращения. Сократить дробь - значит, разделить ее числитель и знаменатель на одно и то же число (наибольший общий делитель).
Если при вычислениях получилась неправильная дробь (числитель больше знаменателя), преобразуем ее в смешанное число. Чтобы неправильную дробь, числитель которой нацело не делится на знаменатель, преобразовать в смешанное число, надо числитель разделить на знаменатель; полученное неполное частное записать как целую часть смешанного числа, а остаток - как числитель его дробной части.
Вернуться к содержанию учебника