Вернуться к содержанию учебника
Выберите год учебника
№2.487 учебника 2023-2026 (стр. 108):
Если на калькуляторе есть клавиша %, то, например, найти число, 3,9% которого составляют 12,48, можно по следующему алгоритму: 12,48÷3,9%. Найдите по этому алгоритму число:
а) 37,8% которого равны 5,2542;
б) 4,36% которого равны 7,3684.
Если такой клавиши нет, то переведите проценты в десятичные дроби и вычислите.
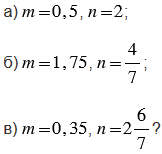
№2.487 учебника 2021-2022 (стр. 103):
Являются ли числа и взаимно обратными, если:

№2.487 учебника 2023-2026 (стр. 108):
Вспомните:
№2.487 учебника 2021-2022 (стр. 103):
Вспомните:
№2.487 учебника 2023-2026 (стр. 108):
а) 5,2542÷37,8%=13,9;
б) 7,3684÷4,36%=169.
В случае, если кнопка % отсутствует, то переводим проценты в десятичную дробь и вычисляем так:
а) 5,2542÷0,378=13,9;
б) 7,3684÷0,0436=169.
№2.487 учебника 2021-2022 (стр. 103):

Пояснения:
Взаимно обратными называют два числа, произведение которых равно единице.
Получается, чтобы проверить взаимно обратные числа или нет, нужно найти их произведение.
При этом помним, обратным числу
является число
.
Чтобы найти произведения, в которых множителями являются смешанные числа и десятичные дроби, преобразуем смешанные числа в неправильные дроби, и если возможно сокращаем их, а десятичные дроби в обыкновенные дроби и также, если возможно сокращаем их. Чтобы преобразовать смешанное число в неправильную дробь, надо целую часть числа умножить на знаменатель дробной части и к полученному произведению прибавить числитель дробной части; эту сумму записать как числитель неправильной дроби, а в ее знаменатель записать знаменатель дробной части смешанного числа. У обыкновенной дроби в знаменателе столько нулей, сколько знаков после запятой у десятичной дроби. Сократить дробь, значит, разделить ее числитель и знаменатель на их наибольший общий делитель.
Вернуться к содержанию учебника