Вернуться к содержанию учебника
Выберите год учебника
№2.504 учебника 2023-2026 (стр. 109):
Элеватор в первый день отгрузил из одной колонны 40% имеющегося зерна, во второй день - 60% остатка, а в третий день - последние 96 т. Сколько зерна было в колонне элеватора?
№2.504 учебника 2021-2022 (стр. 105):
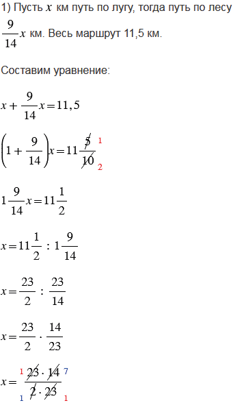
Команда в соревновании по ориентированию на местности прошла маршрут, равный 11,5 км, причем по лугу она шла
ч, а по лесу -
ч. Путь по лесу составлял
пути по лугу. Найдите скорости передвижения команды по лесу и по лугу.
№2.504 учебника 2023-2026 (стр. 109):
№2.504 учебника 2021-2022 (стр. 105):
Вспомните:
№2.504 учебника 2023-2026 (стр. 109):
1) 100%-40%=60% - зерна осталось отгрузить во второй и третий день.
60%=60:100=0,6;
2) 60%•0,6=36% - всего зерна отгрузил элеватор во второй день.
3) 60%-36%=24% - всего зерна отгрузил элеватор в третий день.
24%=24:100=0,24;
4) 96:0,24=9600:24=400 (т) - зерна было в колонне элеватора.
| - | 9 | 6 | 0 | 0 | 2 | 4 | |||||
| 9 | 6 | 4 | 0 | 0 | |||||||
| 0 |
Ответ: 400 т зерна было в колонне элеватора.
Пояснения:
По условию элеватор в первый день отгрузил из одной колонны 40% имеющегося зерна. Нам известно, что величина, от которой вычисляются проценты составляет 100 своих сотых долей, т.е. 100 %, тогда во второй и третий день осталось отгрузить 100%-40%=60% всего зерна.
То есть остаток составил 60%. По условию во второй день элеватор отгрузил 60% остатка. Переведем данное значение в десятичную дробь, для этого разделим число, стоящее перед знаком процентов на 100, получаем, что 60%=60:100=0,6. То есть нам надо найти 0,6 от 60%, а чтобы найти дробь от числа, нужно умножить число на эту дробь, получаем, что во второй день отгрузили 60%•0,6=36% всего зерна.
Так как мы нашли, что во второй и третий дни было отгружено 60% всего зерна, из которых 36% отгрузили во второй день, то в третий день элеватор отгрузил 60%-36%=24% всего зерна. Переведем данное значение в десятичную дробь, для этого разделим число, стоящее перед знаком процентов на 100, получаем, что 24%=24:100=0,24.
По условию в третий день элеватор отгрузил 96 т. То есть 96 т зерна составляют 0,24 всего зерна. Чтобы найти число по значению, соответствующему данной дроби, надо это значение разделить на дробь, тогда получаем, что в колонне элеватора всего было 96:0,24=9600:24=400 т зерна.
№2.504 учебника 2021-2022 (стр. 105):








Вернуться к содержанию учебника