Вернуться к содержанию учебника
Выберите год учебника
№2.281 учебника 2023-2026 (стр. 82):
Используя формулу объема прямоугольного параллелепипеда
, найдите значение
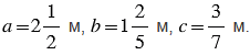
при 
№2.281 учебника 2021-2022 (стр. 77):
Найдите объем прямоугольного параллелепипеда, если его длина равна
м, ширина -
м, а высота -
м.
№2.281 учебника 2023-2026 (стр. 82):
Вспомните:
№2.281 учебника 2021-2022 (стр. 77):
Вспомните:
№2.281 учебника 2023-2026 (стр. 82):

Пояснения:
Чтобы найти значение
по формуле
, нужно в эту формулу вместо
,
и
подставить числа, им соответствующие, и выполнить вычисления.
Чтобы выполнить умножение смешанных чисел, нужно записать эти числа в виде неправильных дробей, а затем воспользоваться правилом умножения дробей, согласно которому произведением двух дробей является дробь, числитель которой равен произведению числителей, а знаменатель - произведению знаменателей.
Чтобы преобразовать смешанное число в неправильную дробь, надо целую часть числа умножить на знаменатель дробной части и к полученному произведению прибавить числитель дробной части; эту сумму записать как числитель неправильной дроби, а в ее знаменатель записать знаменатель дробной части смешанного числа.
Чтобы вычисления были проще, не надо перемножать сразу, лучше сделать это после сокращения.
Сократить дробь - значит, разделить ее числитель и знаменатель на одно и то же число (наибольший общий делитель).
Если при вычислениях получилась неправильная дробь, преобразуем ее в смешанное число. Чтобы неправильную дробь, числитель которой нацело не делится на знаменатель, преобразовать в смешанное число, надо числитель разделить на знаменатель; полученное неполное частное записать как целую часть смешанного числа, а остаток - как числитель его дробной части.
№2.281 учебника 2021-2022 (стр. 77):

Пояснения:
Объем прямоугольного параллелепипеда равен произведению трех его измерений (длины, ширины и высоты).
Произведением двух дробей является дробь, числитель которой равен произведению числителей, а знаменатель - произведению знаменателей.
Чтобы вычисления были проще, не надо перемножать сразу, лучше сделать это после сокращения.
Сократить дробь - значит, разделить ее числитель и знаменатель на одно и то же число (наибольший общий делитель).
Вернуться к содержанию учебника