Вернуться к содержанию учебника
№3.162 учебника 2023-2026 (стр. 150):
№3.162 учебника 2021-2022 (стр. 150):
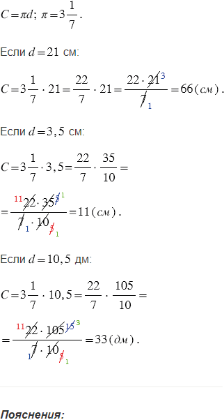
Найдите длину окружности, если её диаметр равен 21 см; 3,5 см; 10,5 дм. Число
считайте равным 
№3.162 учебника 2023-2026 (стр. 150):
№3.162 учебника 2021-2022 (стр. 150):
Вспомните:
Вернуться к содержанию учебника