Вернуться к содержанию учебника
№5.278 учебника 2023-2024 (стр. 49):
№5.278 учебника 2021-2022 (стр. 49):
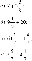
Найдите сумму:

№5.278 учебника 2023-2024 (стр. 49):
№5.278 учебника 2021-2022 (стр. 49):
№5.278 учебника 2023-2024 (стр. 49):
№5.278 учебника 2021-2022 (стр. 49):

При сложении (вычитании) смешанных чисел нужно целые части сложить (вычесть) отдельно и дробные части тоже отдельно.
Чтобы найти сумму двух дробей с одинаковыми знаменателями, нужно сложить их числители, а знаменатель оставить прежним.
Вернуться к содержанию учебника