Вернуться к содержанию учебника
№5.359 учебника 2023-2026 (стр. 60):
№5.359 учебника 2021-2022 (стр. 60):
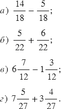
Выполните действие и сократите дробную часть полученного результата:

№5.359 учебника 2023-2026 (стр. 60):
№5.359 учебника 2021-2022 (стр. 60):
№5.359 учебника 2023-2026 (стр. 60):
№5.359 учебника 2021-2022 (стр. 60):

При сложении (вычитании) смешанных чисел нужно целые части сложить (вычесть) отдельно и дробные части тоже отдельно.
Чтобы найти сумму двух дробей с одинаковыми знаменателями, нужно сложить их числители, а знаменатель оставить прежним.
Чтобы найти разность двух дробей с одинаковыми знаменателями, нужно из числителя уменьшаемого вычесть числитель вычитаемого, а знаменатель оставить прежним.
Основное свойство дроби:
Если числитель и знаменатель дроби умножить или разделить на одно и то же натуральное число, то получится равная ей дробь.
Деление числителя и знаменателя на их общий делитель, отличный от единицы, называют сокращением дроби.
Вернуться к содержанию учебника